[파이썬] 방정식 / 행렬 - 그래프 ( sympy / numpy 모듈 ) - 수학
2021. 1. 9. 16:40ㆍ기초
728x90

◎ 다항식
from sympy import *
import numpy as np
init_printing() # 복잡한 수식표현
x, y = symbols('x y')
#------------------------------------------------
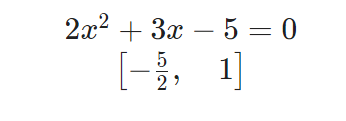
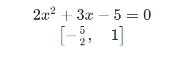
eqn = Eq(2*x**2 + 3*x - 5, 0) # 방정식 (sympy)
display(eqn)
solve(eqn, x)
#------------------------------------------------
np.roots([2, 3, -5]) # 방정식 (numpy)
#---------------------------------------------------------------
plot(2*x**2 + 3*x - 5, (x, -5, 5), ylim=(-10, 10), legend=True) # 그래프 (sympy)

array([-2.5, 1. ])

◎ 연립 방정식
# 방정식 (sympy)
Eq_1 = Eq(x + y, 2)
Eq_2 = Eq(x**2 + y**2, 4)
display(Eq_1, Eq_2)
solve([Eq_1, Eq_2], [x, y])
#---------------------------------------------------------------------------
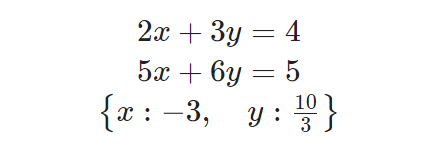
# 행렬 (numpy)
A = np.array([[2,3],
[5,6]])
B = np.array([4,
5])
X = np.linalg.solve(A, B)
print(X)
#-----------------------------------------------
A = np.array([[2,3],
[5,6]])
B = np.array([4,
5])
inv_A = np.linalg.inv(A) # 역행렬 활용
X = np.dot(inv_A, B)
print(X)
#---------------------------------------------------------------------------
# 그래프 (sympy)
plot_implicit(Or(Eq_1, Eq_2), (x, -4, 4), (y, -3, 3))

[-3. 3.33333333]
[-3. 3.33333333]

반응형
'기초' 카테고리의 다른 글
| [파이썬] 난수 발생 (random) 모듈 (0) | 2021.01.12 |
|---|---|
| [파이썬] 기초 통계 ( statistics / numpy 모듈 ) - 수학 (0) | 2021.01.12 |
| [파이썬] 날짜 - 시간 ( datetime / time ) 모듈 활용 (0) | 2021.01.06 |
| [파이썬] 리스트에서 특정 문자열 제거 / 문자 삭제 (0) | 2020.12.27 |
| [파이썬] 데이터프레임을 파일로 저장 - 텍스트 / 표 / 엑셀 - pandas (0) | 2020.10.25 |