[파이썬] 적분 - 그래프 ( sympy 모듈 ) - 수학
2021. 1. 15. 20:28ㆍ기초
728x90

from sympy import *
init_printing()
x, y = symbols('x y')
fx = x**3 + 2*x**2 - 4*x - 2 # 방정식
display(Eq(y, fx))
plot(fx, (x, -5, 5), ylim=(-10, 10)) # 그래프


◎ 부정적분 / 정적분
integrate(fx, x) # 부정적분
integrate(fx, (x, 1, 2)) # 정적분


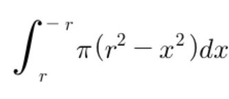
▶ 반지름 r 인 구의 부피 구하기
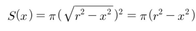
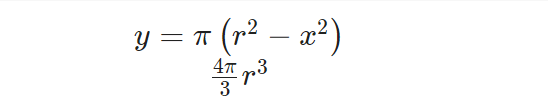
x축에 수직하는 평면으로 구를 잘랐을 때, 단면인 원의 넓이

적분으로 원의 부피를 구하면,

r = symbols('r', integer=True)
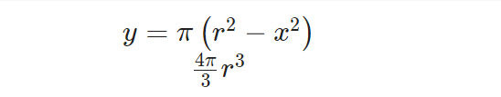
fx = pi * (r**2 - x**2)
display(Eq(y, fx)) # 방정식
integrate(fx, (x, -r, r)) # 적분으로 구한 구의 부피


반응형
'기초' 카테고리의 다른 글
| [파이썬] 미분 - 그래프 ( sympy 모듈 ) - 수학 (0) | 2021.01.14 |
|---|---|
| [파이썬] 난수 발생 (random) 모듈 (0) | 2021.01.12 |
| [파이썬] 기초 통계 ( statistics / numpy 모듈 ) - 수학 (0) | 2021.01.12 |
| [파이썬] 방정식 / 행렬 - 그래프 ( sympy / numpy 모듈 ) - 수학 (0) | 2021.01.09 |
| [파이썬] 날짜 - 시간 ( datetime / time ) 모듈 활용 (0) | 2021.01.06 |